A estratégia Day Trade te permite negociar ativos por meio do nosso Home Broker, Plataformas e Mesa de Operações durante o mesmo pregão com margens diferenciadas.
Não existe nenhum custo para adesão ao produto Day Trade. Para conferir os custos operacionais, consulte nossa seção de custos.
O primeiro passo é realizar a adesão ao produto diretamente em nosso site. Acesse “Produtos”, “Renda Variável” e clique em “Plataformas e Serviços”. Selecione “Serviços” e escolha a opção “Day Trade”.
Após aderir o produto, determine seu limite alocado com base em seu limite total. Ao selecionar a estratégia Day Trade, você poderá realizar operações de compra e venda com os ativos permitidos.
A alocação de limite para operar Day Trade via Home Broker deve ser feita diariamente. Em nosso aplicativo, é possível escolher a opção de alocação de limite recorrente por 7 dias.
Você poderá realizar operações a partir do início do pregão e encerrá-las até 5 minutos antes do call de fechamento, e para ativos que não possuem call, 10 minutos antes do fim da negociação normal, definidos pela B3.
Todas as operações abertas no dia deverão ser encerradas até os horários preestabelecidos, não sendo facultativo ao cliente escolher permanecer com a posição, independentemente de possuir garantias para tal e/ou de potenciais lucros cessantes se continuasse com a mesma.
Caso ainda existam posições abertas, a área de Risco da Corretora terá o direito de encerrá-las automaticamente. Nos cenários onde a corretora não exerça tal direito (por motivos técnicos, sistêmicos e ou/por condições de mercado), o cliente estará sujeito às regras de enquadramento do Invest Flex, conforme termo de contratação.
O seu limite para realizar operações na estratégia Day Trade será o Limite Alocado Disponível, determinado conforme cálculo abaixo:
Limite Alocado Diponível = MIN(Limite Alocado + L&P, Limite Máximo Disponível) - Margens Exigidas;
Limite Alocado” é o valor inicial solicitado para operações na estratégia Day Trade e retirado do Limite Total;
“Limite Máximo Disponível” é o limite máximo determinado pela corretora para operações na estratégia Day Trade, no caso, R$ 80.000,00;
“L&P” é o somatório de todos os lucros e prejuízos obtidos das operações realizadas na estratégia Day Trade;
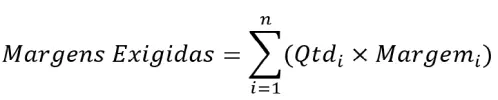
“Margens Exigidas” é o somatório de todas as margens exigidas das operações ainda abertas na estratégia Day Trade, calculada com base na fórmula abaixo:

“Qtdi” é a quantidade do i-ésimo ativo ainda em exposição na estratégia Day Trade;
“Margemi” é o valor financeiro exigido para se expor em uma quantidade do i-ésimo ativo, determinado na lista de ativos permitidos.
O Fator de Enquadramento Day Trade é calculado da seguinte forma:

Importante: quando o Fator de Enquadramento Day Trade for igual ou menor a 30%, você estará desenquadrado. Dessa forma, suas operações ainda abertas na estratégia Day Trade poderão ser encerradas pela área de Risco da corretora. É possível acompanhar o Fator de Enquadramento de forma online através das plataformas da corretora. Caso a liquidação compulsória ocorra, ou o Fator de Enquadramento atinja 50%, enviaremos um e-mail informando o ocorrido.
Se você teve uma ordem rejeitada e deseja saber o motivo, clique aqui e acesse a lista com o detalhamento de cada código de rejeição.